KARBON VERGİSİ - Adil yaklaşım ile

KARBON VERGİSİ - Adil yaklaşım ile
Em. Prof. Dr. Bekir Zühtü Uysal
Özet
Küresel ısınmanın en önemli nedeni olan fosil yakıt kaynaklı karbondioksit emisyonunun kontrol altında tutulması gerekir. Ancak, küresel ve sınır tanımayan bir problemin çözümü de sınır tanımayan ortak bir yaklaşımla başarılabilir. Yenilenebilir-yeşil enerjiye geçişi hızlandırmak için karbon vergisinin gerekliliği herkes tarafından kabul edilmektedir. Karbon vergisini belirlerken insanı merkeze koyan yaklaşım esas olmalıdır. Bunun için UNDP’nin her yıl güncelleyip yayınladığı İnsanî Gelişme İndeksi temel alınabilir. Toplanacak karbon vergisinin bir kısmı ülke içinde yenilenebilir-yeşil enerjiye geçişi temin etmek için kullanılabilir. Bir kısmı da ülkelerin İnsanî Gelişme İndeksi dikkate alınarak, gelişmiş ülkelerin az gelişmiş ülkelere kaynak aktarması ile bu ülkelerde yenilenebilir-yeşil enerji projelerinin özendirilmesinde ve sübvansiyonunda kullanılabilir. Bu amaca yönelik karbon vergisi hesabında kullanılabilecek basit ve adaletli formüller geliştirilip önerilmiştir.
Küresel ısınma ve iklim değişkliği
Tüm dünyayı ilgilendiren, günümüzün en önemli konularından birisi ve belki de yaşamın sürdürülebilirliği açısından en önemlisi küresel ısınma ve bunun sonucu olarak da iklim değişikliğidir. Bunu sadece atmosferin bir kaç derece ısınması şeklinde basit bir olgu olarak görmemek gerekir. Zîra bu, tarımdan hayvancılığa besin zincirini, su kaynaklarını, enerji kullanımını, toprak kullanımını, orman sahalarını, denizlerin ve okyanusların kimyasal yapısını, deniz seviyelerinin yükselmesini, kasırgaların oluşumunu, sel baskınlarını etkileyen bir durumdur. Bu etkiler, ülkelerin sınırları ile sınırlı değildir. Dolayısıyla, bu dünyamızdaki canlı cansız tüm varlıkları ilgilendiren küresel bir sorundur ve çözüm de ülke bazlı değil de küresel bazda bulunmalıdır.
Küresel ısınmaya sera gazlarının sebep olduğu herkes tarafından bilinmektedir. Sera gazları termal radyasyonu tutan gazlardır. Atmosferdeki sera gazları karbondioksit, metan, kükürt dioksit, azot oksitler, ozon, kloroflorokarbonlar, hidroflorokarbonlar ve su buharıdır. Bunların arasında sadece su, havanın içinde doygunluk konsantrasyonu ile sınırlı olduğundan, doğal denge içinde bulunma potansiyeline sahiptir. Diğerlerinin atmosferdeki konsantrasyonları arttıkça sera etkileri de artmaktadır. Bunların atmosferdeki konsantrasyonlarının artışı da esas olarak antropojenik yani insan kaynaklı faaliyetlerden dolayıdır.
Endüstrileşmenin artmasıyla atmosfere salınan kirletici gazlar olarak, kükürt dioksit ve azot oksitler gibi gazlar öncelikle dikkat çekmiş ve bunların atmosfere emisyonlarının kaynağında önlenmesi üzerine teknolojiler geliştirilmiştir. Ancak, sonradan bu kirletici gazların yanı sıra karbondioksit ve metan gibi başka gazların da sera etkisi oluşturacağı tespit edilmiş ve son zamanlarda dikkatler bu gazlara çevrilmiştir. Endüstriyel faaliyetlerin yanı sıra, özellikle büyükbaş hayvancılığın ve pirinç tarımının da metan emisyonuna katkısı vardır. Aslında, karbon dioksite göre metanın küresel ısınmaya neden olma potansiyeli 21 kat, azot oksitlerin 310 kat, florlu gazların 140-23900 kat fazladır. Karbondioksit eşdeğeri (CO2,e) denince bu oranlar dikkate alınmalıdır. Ancak, bu gazların atmosferdeki konsantrasyonları ve atmosfere salınımları dikkate alındığında, karbondioksitin % 82,5, metanın % 8,7, azot oksitlerin % 6,3 ve florlu gazların % 2,5 nispetinde toplam sera etkisi içinde payları olduğu anlaşılmaktadır.1]. En büyük pay karbondioksite ait olduğundan ve özellikle enerji üretimi ile doğrudan ilişkili olduğu için, karbondioksit emisyonunun önlenemese de sınırlanması ve kontrol edilmesi gündeme gelmiştir.
Sektörlere göre atmosfere karbondioksit emisyonu incelendiğinde, elektrik üretiminin payının % 38, ulaşım sektörünün %34, endüstriyel faaliyetlerin %18 ve konut ısınmasının % 6 ve diğer ticarî faaliyetlerin % 4 olduğu söylenebilir. Tüm bu faaliyetler için günümüzde fosil yakıtlar (kömür, petrol, doğal gaz) halen insanlığın ana enerji kaynağı olarak kullanılmaktadır. Fosil yakıtların endüstride ve evlerde termal enerji elde etmek için ve termik santrallerde elektrik üretimi için yakılması sonucu atmosfere salınan karbondioksitin, gerçekten de küresel ısınmaya sebep olan sera gazlarının % 90’ına yakınını oluşturduğundan küresel ısınmada en önemli yeri olduğu anlaşılmıştır. Antropojenik faaliyetlerin, endüstri öncesi dönemlerden bugüne 0,8 ila 1,2 ºC arasında yaklaşık 1ºC’lik bir küresel ısınmaya neden olduğu tahmin edilmektedir (IPCC, 2018). Hollanda Çevre Değerlendirme Ajansı’nın (PBL Netherlands Environmental Assessment Agency) 2020 yılı raporuna göre, 2019 yılında küresel sera gazı emisyonları toplamda 57,4 GtCO2 seviyesine ulaşmıştır. Şu anki emisyon değerleri 1990 yılındaki emisyon değerlerinden %59, 2000 yılındaki emisyon değerlerinden ise %44 daha fazladır (PBL NEAA, 2020). Ülkemizdeki toplam sera gazı emisyon miktarı ise, en son Türkiye İstatistik Kurumu’nun (TÜİK) açıklamış olduğu verilere göre 2019 yılında 506,1 MtCO2,e olarak hesaplanmıştır (TÜİK, 2019). Küresel olarak toplam karbondioksit emisyonuna ülkelerin katkısı değerlendirildiğinde Türkiye 17. sırada yer almaktadır.
Küresel ısınmaya en çok sebep olan unsurun, atmosferde karbondioksit konsantrasyonu artışının olduğu kabul edildikten sonra, fosil yakıt kaynaklı karbondioksit emisyonunun kontrol altında tutulabilmesine yönelik çalışmalar giderek önem kazanmıştır. Bu konuda yapılan akademik araştırmaların ve teknoloji geliştirme çalışmalarının yanı sıra uluslararası plâtformlarda da bu konu tartışılmaya başlanmış ve ne gibi sınırlamalar getirilebileceği konusu incelenmeye başlanmıştır. Öncelikle, enerji kullanımında verimliliğin önemi, fosil yakıtlar yerine temiz ve yenilenebilir enerji kullanımının özendirilmesi konularında çalışmalar hızla artmaktadır. Aralık 2015’te Paris’te gerçekleştirilen 21. BM İklim Değişikliği Sözleşmesi Taraflar Konferansı kapsamında, G20 ülkeleri arasında yapılan görüşmeler sonucu önemli adımlar atılmış ve küresel ortalama sıcaklık artış limitini 1,5oC ile sınırlandırmak ve 2oC’nin altında tutmak konusunda anlaşma sağlanmıştır (IPCC, 2018). Ancak referans olarak kabul edilen, Havaii’de bulunan Mauna Loa Gözlemevi’nden elde edilen verilere göre, atmosferdeki kritik karbondioksit eşiği olan 400 ppm 2015 yılında geçilmiştir ve Mart 2021 verilerine bakıldığında atmosferdeki karbondioksit seviyesinin 418 ppm’e ulaştığı görülmektedir (NASA/NOAA, 2021). Tüm bu çalışmalar ve iyi niyetli gayretler henüz yeterince sonuç verememiştir ve maalesef hâlâ fosil yakıtlar enerji üretiminde ilk sıradaki yerini korumaktadır.
Çözüme yönelik tedbirler
Fosil yakıtların kullanımında ani bir sınırlamanın ve düşüşün neden olabileceği ekonomik olumsuzluklar endişesi nedeniyle, ülkeler bir araya gelip herkesin kabul edebileceği ortak bir emisyon sınırlamasını bugüne kadar gerçekleştirememiştir. Bazı ülkeler, kendilerince kabul edilebilir sınırlar getirmiştir; güneş enerjisi, rüzgâr enerjisi, biyokütle enerjisi gibi yenilenebilir enerji kaynaklarının kullanımını teşvik etmektedir. Ancak, sınır tanımayan bir problemin çözümü de sınır tanımayan ortak bir yaklaşımla başarılabilir.
İlk önceleri, zorlayıcı olmayan naif öneriler ve bilgilendirmeler denenmiştir. Yenilenebilir enerji kullanımının yaygınlaştırılması ile ilgili ikna edici ve özendirici bilgilendirmeler yapılmıştır, halkın farkındalığını artırıcı yayınlar yapılmıştır, kişilerin yatırımı sübvanse edilmiştir, toplu taşıma araçlarının kullanımı teşvik edilmiştir, elektrikli ve hibrit araçların satın alınması özendirilmiştir. Yenilenebilir-yeşil enerjiyle ilgili araştırma-geliştirme faaliyetleri desteklenmiş ve bunun sonucu olarak gerçekten fotovoltaik panellerle ve rüzgâr türbinleri ile üretilen elektrik enerjisinin yatırım maliyetleri ve kWh başına enerji üretim maliyetleri ilk piyasa değerlerine göre yaklaşık %70-80 kadar azalmıştır. Ama yine de, bu bitmeyen çevre dostu enerji kaynaklarının kullanımı ve toplam enerji arzındaki payı henüz istenen seviye ulaşamamıştır. Böyle olunca da, fosil yakıtların kullanımını azaltıcı ve yenilenebilir enerjiye yönlenmeyi artırmak amacı ile daha radikal tedbirlerin alınması söz konusu olmuştur. Bu da karbon vergisini gündeme getirmiştir.
Karbon vergisi, atmosfere salınan bir birim karbonun fiatı olarak tanımlanabilir; genellikle $/ton karbon veya $/CO2 (karbon eşdeğeri) olarak ifade edilir. Bazen de karbondan elde edilen enerji değeri kullanılarak $/kWh olarak da ifade edilir. Bundan sonraki mesele artık karbon vergisi ne kadar olmalıdır sorusuyla ilgilidir. Bu aşamada, karbon vergisi konulmasının avantajları ve dezavantajları da tartışılmaya başlanmıştır. Avantajlar olarak, endüstrinin ve kişilerin fosil yakıt kullanımını azaltıcı ve yeşil enerjiye geçişi yönünde kuvvetli bir teşvik edici etkisi olması, daha az fosil yakıt kullanımı ile küresel ısınma nedenlerinden birisinin hızlı bir şekilde hafifletici etkisini görme olasılığı, yenilenebilir enerji ile ilgili Ar-Ge faaliyetleri için kaynak oluşturması, ayarlanabilir ve güncellenebilir vergi değeri ile karbondioksit salınımı bakımından devletler arasında ve küresel bazda adaletli bir yaklaşım sağlaması sayılabilir. Bunlara karşılık dezavantajlar olarak, henüz uluslararası bazda ortak bir karbon emisyon fiyatının belirlenememiş olunması, uluslararası ortak bir tutum sağlanamazsa endüstride üretim yapan şirketlerin tesislerini ve idâri merkezlerini başka ülkelere taşıma ihtimalleri, karbon vergisi ile üretim maliyetlerinin artacağı ve bu nedenle bazı firmaların kapanma tehlikesi ile karşılaşabileceği ve işsizliğin artabileceği, artan fiyatlarla halkın alım gücünün olumsuz etkileneceği, vergi değerinin tespitinin ve takibinin güç olması, gelişmekte olan ülkeler için fazladan maliyet külfeti getireceği gibi hususlar öne sürülmektedir.
Artılarıyla ve eksileriyle değerlendirildiğinde, atmosferdeki karbondioksit konsantrasyonunun artışındaki gerçeklik, küresel ısınmanın neden olduğu iklim değişiklikleri, artan lokal ve yoğun yağmur ve kar yağışları, artan sel baskınları, daha sık görülmeye başlayan fırtına ve ani hava hareketliliği, maliyeti ne olursa olsun fosil yakıtlardan yenilenebilir ve yeşil enerjiye geçişin vakit kaybetmeden ve hızlı bir şekilde olmasını artık zorunlu kılmaktadır. Bu hususta dünya kamuoyunda da ortak fikir birliği giderek artmaktadır. Dolayısıyla karbon vergisi yakın zamanda gerçekleşecektir. Dünyamıza ve üstünde yaşayan tüm canlılara olan zararın yükünü bundan sorumlu olanlara ödetmek en doğru yaklaşım olacaktır. Unutulmamalıdır ki bu karbondioksit emisyonunu yapanlar, aynı zamanda onu azaltacak olanlardır. Karbon vergisi aynı zamanda bundan bir an önce kaçınmak için bir itici güç olacaktır ve gerekli tedbirleri aldıkları takdirde bugün yüksek karbon emisyonuna neden olanlar hem kendilerinin hem de tüm canlıların ve dünyamızın üzerindeki bu yükün azalmasına hızlı bir şekilde katkıda bulunacaklardır.
Fosil yakıtların büyük oranda enerji üretimi için kullanıldığı dikkate alınırsa, atmosfere salınan karbonun fiyatını belirlemek esas itibariyle zor değildir. Kömür, sıvı yakıt (fuel oil) ve doğal gazın içerdiği karbon miktarları bilindiğine göre ve bunlar yakıldığında bir kmol karbon (12 kg) bir kmol karbondioksit (44 kg) vereceğine göre, yakıtların alt ısıl değerleri (kalorifik değerleri), yakma işleminin verimliliği dikkate alınarak elde edilebilecek termal enerjinin miktarı hesaplanabilir. Bu termal enerji, endüstride veya evlerde doğrudan kullanılabilir. Endüstride bu termal enerjiden su buharı üretip ondan da türbinler vasıtasıyla elektrik üretilecekse, yine bu işlemin verimliliğini de dikkate alarak ne kadar kWh elektrik üretilebileceği hesaplanabilir. Tabii, bu tesislerin kuruluş sermaye yatırımları, amortismanları, hammadde (kömür, sıvı yakıt ve doğal gazın) fiyatlarını ve işletme giderlerini de hesaba katarak, üretilen termal enerjinin veya elektrik enerjisinin maliyeti kolayca hesaplanabilir. Her ülkede bu fosil yakıtlar yeterli olarak bulunmamaktadır. Dünyada en yaygın fosil yakıt kömürdür, ama onun da kalitesi ve kalorifik değeri değişiklik gösterir. Petrol ve doğal gaz ise bazı ülkelerde bolca bulunduğu halde, bazılarında hiç yoktur ve bunlar ancak ithalâtla ihtiyaçlarını karşılamak durumundadır. Bunun sonucu olarak, fosil yakıttan üretilen her bir kWh eşdeğeri termal enerjinin ve elektrik enerjisinin fiyatı ülkeden ülkeye değişiklik göstermektedir. Bu da ülkedeki diğer endüstrilerde de enerji maliyetini ve diğer üretilen maddelerin ve malzemelerin fiyatını da etkilemektedir. İşte uluslararası ortak yaklaşımda zorluk da burada başlamaktadır. Dünya pazarındaki çetin rekabet ortamında, kısa vadeli düşünen ülkeler ucuza satabildikleri malların fiyatını yükseltmekten kaçınmaktadırlar.
Bir başka husus da gelişmekte olan ülkelerin haklı olarak öne sürdükleri ve dikkate alınması gereken bir durumdur. Bugünkü küresel probleme sebep olanlar arasındaki en büyük sorumluluk sanayisi gelişmiş olan ülkelerdir; madem sorunu oluşturdular, gelişmiş ülkeler çözümde de en yüksek fiyatı ödemeliler görüşüdür.
Görüldüğü gibi, sorun açıktır. Alınması gereken tedbirler bilinmektedir. Ama iş karbon emisyonu maliyetini hesaplamya ve faturayı kimin ödeyeceği konusuna geldiğinde durum çok karmaşık bir hâl almaktadır. Önemli olan, adaletli ve herkes için makul olabilecek bir çözüm bulmaktır.
Adaletli çözümün temeli
Adaletli çözümü oluştururken, temel alınması gereken husus ne olmalıdır? Fosil yakıtların kullanımı doğrudan enerji ile, enerji de üretim kapasitesi ile, üretim de ülkelerin gelişmişliği ile ilgili olduğundan, ilk bakışta ekonomik değerlendirmelerde ve büyümenin ölçüsü olarak genellikle kabul edilen Gayri Safi Yurt İçi Hasıla (GSYİH) değerinin kullanılabileceği akla gelebilir. Ancak, son zamanlarda bazı ekonomistler GSYİH’nın ekonomik değerlendirmelerde iyi bir seçim olmadığını ve esas unsurun insanların gelişmesini temin etme yönünde olması gerektiğini ifade etmektedirler[2].
Önemli olan, ülkelerin büyümesinin göstergesi olan GSYİH yerine, kişilerin gelişmişliğini ve refahını temel almanın daha doğru olacağıdır. Kişilerin mutluluğu, iki sınır arasındadır; yeterli gıda, temiz su, barınma, sağlık, iş, gelir, bilgiye erişim gibi temel yaşamsal ihtiyaçların oluşturduğu taban ile iklim değişikliği, okyanusların asitlenmesi, hava, su ve toprak kirliliği gibi ekolojik tavan (Raworth,2019). 2015’te 193 ülke tarafından kabul edilen Birleşmiş Milletlerin Sürdürülebilir Kalkınma Hedefleri yaşayan herkese tabanı oluşturan tüm imkânların sağlanması gerektiği yönündedir. Bu zaten insan hakları ile ilgilidir. Önemli olan ekolojik tavanı daha olumlu şartlara ve yükseklere taşıyarak insanların yaşam refahını artırmaktır. Karbon vergisi de bunu amaçlamaktadır.
Ama esas sorun, karbon vergisinin neye göre hesaplanması gerektiğidir. Ülkelerin GSYİH değilse bile Kişi Başına Düşen Gayri Safi Yurt İçi Hasıla (Nominal) (KBD-GSYİH) yararlanılabilecek bir temel olarak kullanılabilir. Ancak, GSYİH’nın kişilere adaletli olarak yansımadığı düşünülürse, KBD-GSYİH’nin kullanılması çekince konusudur. Buna alternatif olarak, daha iyi ve gerçekçi bir seçim Birleşmiş Milletlerin her yıl güncellediği İnsanî Gelişme İndeksi (İGİ) {Human Development Index, HDI} olabilir.
İnsanî Gelişme İndeksi (İGİ), insanı merkeze koyan, ülkede yaşayan insanların eğitim seviyesi, yaşam düzeyi ve yaşam uzunluğu gibi parametreleri dikkate alarak hazırlanan bir göstergedir. 1990 yılında Pakistanlı ekonomist Mahbub ul Haq tarafından önerilmiştir. 1993 yılından beri de Birleşmiş Milletler Gelişme programı (United Nations Development Programme, UNDP) tarafından her yıl güncellenerek yayınlanmaktadır. Türkiye için İGİ değerinin yıllara göre değişimi aşağıdaki grafikte verilmiştir.
Sera gazı salınımlarını ve malzemenin (her türlü mal ve hizmetlerin) verimli kullanımını içeren faktörlerin ekolojik baskıyı kolaylaştıracak ekonomik ve sosyal dönüşümü yeterli olarak yansıtacağı yaklaşımı ile bir düzeltme faktörü geliştirilmiş ve bu düzeltme faktörü ile İGİ’nin çarpılmasından “Gezegensel Baskılara Göre Ayarlanmış İnsanî Gelişme Endeksi” {Planetary Pressure-adjusted Human Development Index, PHDI} elde edilmiştir. Bu kısaca “Ekolojik İnsanî Gelişme İndeksi” (EİGİ) olarak da adlandırılabilir. Buna göre, şayet bir ülke gezegenimiz üzerine hiç ekolojik baskı uygulamazsa EİGİ ve İGİ eşit olacaktır, yani düzeltme faktörü “1” olacaktır. Fakat, ekolojik baskı artarsa EİGİ’nin değeri İGİ’den daha küçük olacaktır, yani düzeltme faktörü birden küçük olacaktır. Bu düzeltme faktörü, ülkedeki kişi başına karbondioksit emisyonunu ölçen indeks ile kişi başına düşen mal ve hizmetlerin ayak izi indeksinin aritmetik ortalaması olarak hesaplanır. İGİ’nin bu tür bir ayarlama ile EİGİ’ye dönüştürülmesi, bir tür “kirlilik cezası” olarak nitelendirilebilir. Bu düzeltme faktörü de her yıl UNDP tarafından yayınlanmaktadır. Doğal olarak gelişmiş ülkeler için bu düzeltme faktörü 0,678 ile 0,961 arasında değişirken az gelişmiş ülkeler için 0,982 ile 1 arasındadır.
Daha kapsamlı bir alternatif çıkıncaya kadar, Ekolojik İnsanî Gelişme İndeksi (EİGİ)’nin karbon vergisi hesabında kullanılması en adil yaklaşım olacaktır. Her yıl UNDP tarafından da güncellendiğinden her ülke için de adaletli bir temel oluşturacaktır. UNDP raporuna göre ülkeler, “Çok Yüksek İnsanî Gelişim Ülkeleri”, “Yüksek İnsanî Gelişim Ülkeleri”, “Orta İnsanî Gelişim Ülkeleri”, “Düşük İnsanî Gelişim Ülkeleri” diye gruplara ayrılmıştır ve her ülke için İGİ, düzeltme faktörü ve EİGİ değerleri tablo olarak verilmiştir[3]. Türkiye, 66 Çok Yüksek İnsanî Gelişim Ülkeleri arasında 54. sıradadır. “Çok Yüksek İnsanî Gelişim Ülkeleri” için İGİ değerleri 1.sıradaki Norveç için 0,957’den başlayarak 0,804’e kadar değişmektedir. Türkiye için bu değer 0,82’dir. EİGİ değerleri ise sıralamasında ise İrlanda 0,833 ile ilk sıradadır ve 0,495 ile Lükemburg son sıradadır. Türkiye’nin EİGİ değeri 0,746’dır. EİGİ değerleri “Yüksek İnsanî Gelişim Ülkeleri” için 0,765-0,595, “Orta İnsanî Gelişim Ülkeleri” için 0,669-0,547 ve “Düşük İnsanî Gelişim Ülkeleri” için 0,539-0,39 arasındadır.
Bu değerler UNDP 2020 raporundan alınmış olup 2019 yılına aittir. Bu rapordan alınmış olan ve EİGİ’nin İGİ’ye karşılık çizildiği grafik de aşağıda verilmiştir.
Bu grafikten açıkça görüldüğü gibi, EİGİ değerleri, İGİ değeri 0,7 veya daha düşük olan ülkeler için İGİ değerlerine çok yakındır. İGİ değeri 0,7’den yüksek olan Çok Yüksek İnsanî Gelişim Ülkeleri ve Yüksek İnsanî Gelişim Ülkeleri için ise EİGİ değerleri İGİ değerlerinden düşüktür ve sapma miktarı İGİ değeri büyüdükçe artmaktadır. Bu durum, gelişmiş ülkelerin vatandaşlarının refahını ve insanî gelişimini artırırken gezegenimizi diğer ülkelerden daha fazla kirlettiklerinin doğrulanmasıdır. Dolayısıyla, bu ülkelerin kirlenen dünyamızın temizlenmesi yönünde daha çok sorumluluk alması ve katkıda bulunması gerekir. Bu grafiğin gösterdiği bir başka önemli husus da şudur; ödenmesi gereken kirlilik cezası veya karbon vergisi tesbitinde EİGİ kabul edilebilir bir göstergedir.
Baca Gazı Arıtımı Maliyeti
Tipik bir endüstriyel işletmenin ana unsurları aşağıdaki şekilde gösterimiştir. Bu, fosil yakıt kullanarak kendi termal enerjisini ve elektriğini üreten bir işletme olabilir veya sadece elektrik üterimi yapan bir termik santral de olabilir. İşletmeden ilk çıkan baca gazı henüz kirlidir; içinde kükürt dioksit, azot oksitler, partiküller gibi hava kirletici gazlar ve bunlarla beraber sera gazı olan karbon dioksit de vardır.
Fosil yakıtların yakıldığı durumda ortalama olarak birim karbonun fiyatı 180 $/(ton karbon) olarak kabul edilirse, çıkan karbon dioksitin “üretim maliyetinin” yaklaşık 50 $/ton CO2 olduğu kolayca hesaplanabilir. Kirli baca gazı içindeki her ton karbon dioksit için işletmenin (fosil yakıtla işletmeye giren) karbonun maliyeti birim karbon dioksit miktarı bazında yaklaşık 50 $/ton CO2 olması demektir. Herhangi bir baca gazı arıtımı söz konusu değilse, işletmede üretilen mamul maddenin veya termik santralde üretilen elektriğin maliyetini belirlemede kullanılan fosil yakıtın katkısıdır. Bu, endüstride fosil yakıtların yakılmasıyla elde edilebilecek termal enerjinin maliyetinin 0,025 $/kWh değerine karşılık gelmektedir ki makul bir değerdir[4]. Bu aynı zamanda, bu termal enerjiden üretilebilecek elektrik fiyatı olarak da 0,06 $/kWh değerine karşılık gelir.
Karbon dioksitin kaynağında atmosfere salınımından önce yakalanmasının maliyeti yaklaşık 35-45 $/ton CO2 arasında değişmektedir. Ortalama bir değer olarak 40 $/ton CO2 kabul edilebilir.
Buna, yakalanan karbon dioksitin depolanması gibi diğer masrafların eklenmesiyle karbon dioksitin yakalanmasının ve bertarafının toplam maliyeti ortalama yaklaşık 80 $/ton CO2 değerine ulaşmaktadır[5]. Bu termik santraller için de kabul edilebilir ortalama bir değerdir.
Yukarıda açıklandığı gibi, karbon dioksiti kaynağında yakalamadan atmosfere salan termik santraller ve diğer endüstriyel işletmeler, atmosferi kirletmenin maliyetini ödemeden ürettikleri elektrik, enerji veya diğer endüstriyel maddelerin fiyatını belirlemektedirler. Karbon dioksitin ekserjik değeri olan 50 $/ton CO2’nin karşılığını ürettikleri mamul madde, enerji veya elektrik üzerinden zaten almaktadırlar. Çıkan karbon dioksitten faydalanılmak istendiğinde, endüstriyel tesise bir absorpsiyon veya adsorpsiyon ünitesi ilâve etmek gerekir ki bunun da yaklaşık 40 $/ton CO2 maliyeti vardır. Dolayısıyla, çıkan karbon dioksit başka bir endüstriyel işletmede kullanılacaksa (karbon dioksit faydalı başka bir kimyasala dönüştürülecekse) yakalanan karbon dioksitin o işletmeye satış fiyatı 40 $/ton CO2 olacaktır. Bu karbon dioksitin “yakalama ve kullanma” maliyetidir (Carbon Capture & Utilization, CCU). Başka bir endüstride kullanılmayıp, karbon dioksit (gelişmiş petrol kazanımı için petrol rezervlerine basılması dahil) yer altında veya okyanusların derinliklerinde depolanacaksa, bu bertaraf işleminin maliyeti de yaklaşık 40 $/ton CO2 olacaktır ve toplam tecrit maliyeti 80 $/ton CO2 olacaktır. Bu karbon dioksitin “yakalama ve bertarafı” maliyetidir (Carbon Capture & Sequestration, CCS).
Maalesef, halihazırda ülkemizde termik santrallerimizin pek azında kükürt dioksit, azot oksitler, partiküller gibi hava kirletici gazların giderilmesi için baca gazı arıtım birimleri vardır. Bu işlemin de her ton karbon dioksit bazında ilâve yaklaşık 25 $/ton CO2 maliyeti vardır. Bu hususu da dikkate almak gerekir. Kısaca ifade etmek gerekirse, işletmede baca gazı ön arıtımı olarak, kükürt dioksit, azot oksitler, partiküller gibi hava kirletici gazların giderilmesi yapılıyorsa karbon dioksitin de tutulması ve bertarafı için 80 $/ton CO2, yoksa (ön arıtma yapılmıyorsa) toplam 25+80=105 $/ton CO2 maliyeti söz konusudur.
Karbon vergisi
Karbon vergisinin hesaplanmasında dikkate alınması gereken çok değişik parametreler vardır. Tüm bu parametreleri içeren genel bir formül geliştirmek çok güçtür. Ama, hiç olmazsa, karbon tutulmasını sağlayacak tesis için yapılacak ek yatırımın dikkate alınması gerçekçi bir yaklaşım olur. Belirlenecek karbon vergisinin yatırımdan caydırıcı olmaması ve tam tersine teşvik edici olması lâzımdır.
Endüstride yıllık karbon salınımı üretilen maddeye ve enerjiye göre değişir. Bir termik santralin, çimento fabrikasının, demir-çelik fabrikasının, etanol, amonyak, hidrojen üretimi gibi kimyasal tesislerin veya etilen oksit üretimi gibi bir petrokimya tesisinin neden olduğu karbon dioksit salınımlarının miktarı ve baca gazındaki konsantrasyonları aynı değildir. Hatta kullanılan teknolojiye göre bu değerler farklılık gösterebilir. Örneğin, aynı güçte kömür yakan bir termik santral ile doğal gaz yakan termik santralin baca gazlarındaki karbon dioksit miktarı ve konsantrasyonları aynı değildir. Tüm bu faktörler, baca gazı arıtılması maliyetini etkiler; hem sabit sermaye yatırımını hem de işletme giderlerini etkiler. Tüm endüstri kollarında uygulanabilecek genel bir fiyatlandırma yapmak mümkün olmadığından, burada öncelikle kömür yakan bir termik santral için ortalama maliyetler hakkında bir fikir vermek amaçlanmıştır. Unutulmamalıdır ki aynı güçte kömür yakan termik santrallerin, kullandıkları teknolojiye göre, pülverize kazanlı veya sirkülasyonlu akışkan yatak kazanlı olmasına göre, bile yatırım maliyetleri değişebilir. Buradaki rakamlar, ortalama olup göreceli bir fikir vermek içindir.
Kömür yakan ve elektrik üreten bir termik santralin ortalama Sabit Sermaye Yatırımı (SSY) 2000 $/kW alınabilir. Yüksek verim istenildiğnde süperkritik buhar üreten santrallerde bu fiyat %75 artabilir. Çıkan baca gazının SO2, NOx, HCl, Hg, partikül giderimini sağlayan ön arıtma işlemleri için SSY yine ortalama 250 $/kW ve CO2 giderimi sağlayan ek tesisin SSY için de ortalama 200 $/kW kabul edilebilir. CO2 giderimi için de değişik teknolojiler vardır ve halen yeni teknolojiler geliştirilmektedir. Burada verilen değer monoetanolamin (MEA) bazlı sistemler için yaklaşık değerdir. Görüldüğü gibi, örnek olarak 100 MWe gücünde bir termik santralin kurulması için 200 M$, ön arıtma işlemleri için 25 M$ ve karbon tutma tesisi için 20 M$ yatırım yapmak gerekir. Karbon vergisi miktarını hesaplarken ön arıtma işlemleri tam olan bir elektrik santralin karbon tutma tesisi için 200.000 $/MW mertebesinde yatırım yapması gerektiğini dikkate almak gerekir. Yine unutmamak gerekir ki, yukarıda açıklandığı gibi, bir de işletme gideri olarak karbon tutma için 40 $/ton CO2 ve depolanması için de 40 $/ton CO2 harcamak gerekir.
Bir fikir edinmek maksadıyla, yılda 8000 saat çalışan 1 MW gücünde enerji üretim tesisi için aşağıdaki tablo hazırlanmıştır.
Henüz arıtma tesisini kurmamış işletmelere bunu kurabilmeleri için yaklaşık 5 yıl süre tanınması ve bu süre içinde harcayacakları SSY’larını vergiden düşmek teşvik edici bir unsur olabilir. Baştan itibaren anlatılan tüm gerçekleri dikkate alarak ve daha kapsamlı bir adlandırma yaparak, Havayı Kirletme Vergisi (HKV) için kabul edilebilir bir formülasyon aşağıda verilmiştir.
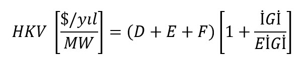
İlk beş yıl-Ön arıtma ve karbon tutma tesisleri olmayan işletmeler için:
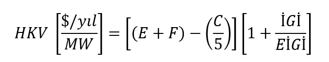
Beş yıl sonrası- Ön arıtma ve karbon tutma tesisleri olmayan işletmeler için:
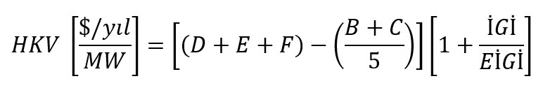
İlk beş yıl-Ön arıtması olan ve karbon tutma tesisi olmayan işletmeler için:
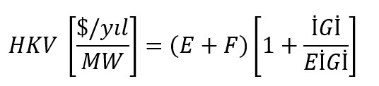
Beş yıl sonrası- Ön arıtması olan ve karbon tutma tesisi olmayan işletmeler için:
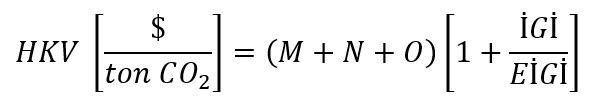
Bu denklemlerde en sağdaki parantez içinde “1” ülkelerin yerel payını ve İGİ/EİGİ Birleşmiş Milletler payını göstermektedir. Elektrik ve termal enerji üreten tesisler için ve baz olarak üretilen her bir MW güç için hesaplanan yıllık değerler aşağıdaki tablolarda verilmiştir.
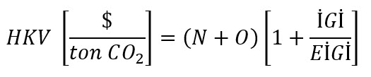
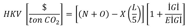
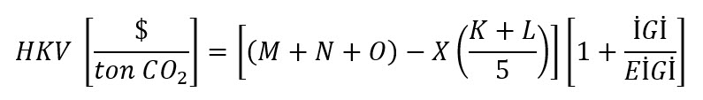
Bu hesaplamalar baz olarak bir ton CO2 alındığında da yapılabilir. Hatta kullanımda bu baz daha pratik olabilir. Çünkü, tesisin ne ürettiği önemli değildir; elektrik, termal enerji veya başka bir madde üretirken gerçekleşen saatlik karbon dioksit salımı esas alınır. CO2 üretim kapasitesi X [ton CO2/h] olan bir işletme için aşağıdaki tabloda verilen temel değerler ortalama olarak kabul edilebilir.
Bu tablo değerlerine göre HKV hesaplamalarında aşağıdaki ifadeler kullanılabilir.
İlk beş yıl-Ön arıtma ve karbon tutma tesisleri olmayan işletmeler için:
Beş yıl sonrası- Ön arıtma ve karbon tutma tesisleri olmayan işletmeler için:
İlk beş yıl-Ön arıtması olan ve karbon tutma tesisi olmayan işletmeler için:
Beş yıl sonrası- Ön arıtması olan ve karbon tutma tesisi olmayan işletmeler için:
Buna göre hesaplanan HKV [$/ton CO2] değerleri de aşağıdaki tablolarda verilmiştir. Bu tablodaki değerleri yıllık ton CO2 üretimi (8000 X, [ton CO2/yıl]) ile çarparak, yıllık HKV [$/yıl] hesaplanabilir.
Bu şekilde hesaplanan ve tahsil edilen HKV’nin kullanımı bir çok ülkede endişe edilen husus olmuştur. HKV’nin “yerel” kısmı yurt içinde hükümet tarafından ayrı bir fonda tutulup sadece “Karbon Tutma, Faydalanma ve Deoplama”’ya ve “yenilenebilir-yeşil enerjiye” yönelik Ar-Ge faaliyetleri için ve yenilenebilir-yeşil enerji yatırımlarını sübvanse etmek için kullanılmalıdır. Böylece, hem kamu kuruluşlarının, hem özel kuruluşların, hem de evlerine örneğin güneş veya rüzgâr enerjisinden faydalanan sistemler kurmak isteyen bireysel girişimlerin desteklenmesi mümkün olur. BM payı ise toplanıp, BM’de oluşturulacak bir fonda toplanmalıdır. BM’deki fonda toplanan para ise özellikle İGİ değeri 0,7’den küçük olan ülkelerde yeni yapılacak “yenilenebilir-yeşil enerjiye” yönelik yatırımları teşvik etmek ve desteklemek üzere kullanılmalıdır. Bu ülkelerin gelişirken yerel fosil yakıtlar yerine güneş enerjisi, rüzgâr enerjisi gibi kaynaklardan yararlanmaları özendirilebilir. Bu şekilde, dünyamızdaki her bir kişinin bireysel refahını ve gelişimini artırıcı amaç doğrultusunda uluslar arası adalet de sağlanmış olur.
Elbette, HKV enerji üretimine ek maliyet getirecektir; her 1$/ton CO2 vergi, kömür yakan termik santralde elektrik maliyetini 0,00122 $/kWh kadar artıracaktır. Örneğin, 100 MW gücünde olan ve yılda 800 Milyon kWh üretmek için ve atmosfere saldığı her ton karbon dioksit başına sadece 50 $ yatırımla kurulan ve havayı kirletmesine karşılık elektriği yaklaşık 0,06 $/kWh maliyetle üreten bir temik santrale, (vergi olarak 167,94 $/ton CO2 alınırsa) ek toplam yaklaşık 164 M$ bir maliyet gelecektir. Bu da %33 verimle çalışan bir termik santralde elektrik üretim maliyetini 0,2 $/kWh artıracaktır. Termik santral verimi %50 ise, karbon dioksit emisyonu 6444 ton/yıl-MW, ek maliyet 108 M$ olacaktır ve karbon vergisi ile elektrik üretim maliyeti 0,13 $/kWh artıracaktır. Görüldüğü gibi elektrik üretim verimliliği çok önemlidir ve termik santrallerin verimliliği artırıcı tedbirleri almaları teşvik edilmelidir. Burada hesaplanan karbon vergisi değerleri çok gözükebilir, ama unutulmamalıdır ki gelecek nesillerimiz için dünyamızın kirlenen atmosferini temizlemek istiyorsak bu kaçınılmaz ve bugün ödenmesi gereken bir bedeldir. Örnek olarak güneş enerjisi maliyeti ile karşılaştırmak ilginç olabilir. Yıllık ortalama güneşlenme süresini dikkate alarak, 100 MW gücünde bir güneş enerjisi santrali yaklaşık 55 M$ yatırım gerektirir ve yılda yaklaşık 140.000.000 kWh elektrik üretir. Yani, SSY’ı 0,4 $/kWh olur ki bu da iki yıllık vergiye denk gelir. Güneş enerjisine dönüşüm yapıldığında karbon vergisi ödenmeyeceğinden, bu dönüşüm çok cazip olacaktır. Bu arada, geri ödeme süresi 5 yıl alınırsa elektrik maliyeti 0,08 $/kWh olur. Görüldüğü gibi, karbon vergisinin fosil yakıttan yeşil enerji kaynaklarına dönüşümü özendirici bir itici gücü olduğu açıktır. Fotovoltaik paneller giderek yıldan yıla ucuzladığından, bu dönüşüm projeleri önümüzdeki yıllarda daha da çekici hale gelecektir. Rüzgâr enerjisi için de durum benzerdir. 100 MW gücünde bir rüzgar enerjisi sistemi için yaklaşık 130 M$ yatırım gerektiği ve yılda ortalama 235 Milyon kWh elektrik üretilebileceği ve geri ödeme süresi yine 5 yıl alınırsa elektrik maliyeti 0,11 $/kWh düşünülürse dönüşüm projelerinin cazip olacağı açıktır.
Yukarıda tabloda [$/ton CO2] cinsinden verilen değerler, doğal gaz yakan sistemler ve santraller için de kullanılabilir. Doğal gazın Alt Isıl Değeri 36,5 MJ/Nm3 veya 10,14 kWh/Nm3 ve emisyon faktörü de yaklaşık 1,85 kg CO2/Nm3 doğal gaz alınabilir. (Nm3 0oC’deki hacimdir.)
Karbon dioksit emisyonunda %34 paya sahip olan ulaşım sektörüne gelince, yakıt olarak benzin baz alındığında, her 1 $/ton CO2’luk karbon vergisi benzinin litre fiyatına yaklaşık 0,0024 $/Lt ek artış getirecektir. Bu sektörde, mevcut teknolojiyle çıkan CO2’i tutma ve depolama imkânı olmadığından, yukarıda makul olarak alınan 40 $/ton CO2 vergi değeri ve (İGİ/EİGİ) oranı dikkate alınarak,
ifadesinden, Türkiye için hesaplanan
vergi ile benzin fiyatının 0,2 $/Lt kadar artırılması gerekir.
Günümüzde 16 ülke karbon vergisini uygulamaktadır. Bunların çoğunda karbon vergisi 5-40 $/ton CO2 arasında değişmektedir. İsveç, Norveç, Finlandiya ve İsviçre gibi ülkeler daha yüksek vergi koymuşlardır. Günümüzde, İsveç 134 $/ton CO2 ile en yüksek vergiyi koymuştur ve bu değerle yukarıda açıklanan öneriye (168 $/ton CO2) en yakın vergidir. Norveç çok radikal bir kararla 2030 yılına kadar vergiyi 200 EU/ton CO2’a artıracağını ilân etmiştir. Dolar bazında yaklaşık %3’lük devalüasyon ile günümüz (2021) için önerilen 168 $/ton CO2’lik HKV’nin 2030 daki değeri de 214 $/ton CO2 olur; bu da Norveç’in koyduğu hedefe yakındır.
Burada özellikle vurgulanmasında yarar olan bir husus da her ülkenin ve uluslararası kuruluşların, kaynağında emisyonu önlenen ve tutulan karbon dioksitin depolanması ve başka yararlı kimyasallara dönüştürecek proseslerin geliştirilmesi konusunda Ar-Ge çalışmalarını desteklemeleri, çözüm üretmeleri ve bunlarla ilgili alt yapıyı hazırlamaları ve plânlama çalışmalarını yapmaları gerekir. Bu konu acildir ve kısa zamanda hızlı bir şekilde ilgili teknolojiler geliştirilmeli ve teşvik edilmelidir.
Karbon ticareti
Karbon vergisinden muaf tutulmak veya vicdanî sorumluluk içgüdüsüyle ve uluslararası baskıyı azaltmak amacıyla, ulusal ve uluslararası ortamda karbon pazarları kurulmakta ve karbon ticareti yapılmaktadır. Yüksek karbon emisyonu yapan ülkeler, daha düşük karbon emisyonu yapan ülkelerden bu yolla atmosfere daha fazla karbon emisyonu yapma ve atmosferi kirletme hakkı (kredisi) satın almış oluyorlar.
Orman ve tarım arazileri sahipleri de bu amaç için kullanılıyorlar. Orta yaşlı bir orman ağacının fotosentez yoluyla yılda 22 kg karbon dioksiti absorpladığı kabul edilir. Değişik tarım ürünleri de yetişirken bünyelerine karbonu almaktadır; bu değerler buğday, arpa, yulaf için 3,2-3,8 ton karbon /hektar-yıl; kayısı, erik, şeftali, nektarin gibi ağaçlar için 4,7-7,7 ton karbon /hektar-yıl; limon, portakal ağaçları için 5,6-8,3 ton karbon /hektar-yıl; üzüm için 5,2 ton karbon /hektar-yıl [6]. Karbon dioksit emisyonu yüksek olan bazı şirketler ve uluslar, tarım arazilerini kiralayarak veya masraflarını karşılayarak atmosfere verdikleri zararı ve kirletmelerini telâfi etme yoluna gitmektedirler; bir bakıma karbon salım kredisi satın almaktadırlar. Ancak bu kendileri açısından biraz vicdan rahatlatıcı olsa da genel problemin çözümüne maalesef bir katkı yapmamaktadır. Burada yanlış anlaşılma olmasın; Orman arazilerine ağaç dikilmesi ve tarım amaçlı ağaç dikilmesi elbette atmosferdeki karbon dioksitin bertarafı için çok önemlidir, ama varolan ormanlar ve tarım arazileri üzerinden kredi satın almak yerine, tüm ülkelerin yeni orman ve tarım arazileri oluşturması daha uygun bir yaklaşım olacaktır. Son zamanlarda yapılan çalışmalar bu amaç için alglerin de kullanılabileceğini ve hatta uygun biyoreaktör teknolojileriyle ağaçlardan yaklaşık 400 kat daha verimli olacağını göstermiştir. Denizlerdeki alglerin yıllık 2,6 gigaton mertebesinde atmosferdeki karbon dioksiti absorpladığı ve fotosentez ile atmosfere oksijen salması gerçeği, alglerden yararlanma konusunda teknoloji ve verimli biyoreaktör geliştirme çalışmalarını başlatmıştır.
Dünya Bankası verilerine göre 12 Milyar ton karbon dioksit eşdeğeri bu karbon pazarında işlem görme potansiyeline sahiptir. Kuzey Amerika’da ve Avrupa’da bu pazarlar mevcuttur. Yaklaşık 40 ülke bu pazarda yer almaktadır. Avrupa pazarında EU Emission Trading System (EU-ETS) üzerinden görülen işlemlerde 2020 yılında ortalama 18,5 EU/ton CO2 fiyat kullanılmıştır. Dünya pazarlarında da ortalama fiyat 20 $/ton CO2 civarındadır. Görüldüğü gibi, ton CO2’in bu pazarlardaki fiyatı yukarıda hesaplanan değerden çok daha düşüktür. Hatta, bu piyasadaki bazı karbon kredisi satın alanların, fiyatı 5 $/ton CO2’ın altına çekme çabaları içinde oldukları bilinmektedir. Tüm bu gerçekler, şu anki karbon piyasalarında fiyatların düşük olduğunu, en azından fosil yakıtlardan yeşil enerji kaynaklarına dönüşüm için yeterli olmadığını açıkça göstermektedir.
Karbon vergisinin elektrik fiyatına ve termal enerji maliyetine etkisi
Daha önce belirtildiği gibi baca gazı arıtma sistemleri olmadan yapılan üretimlerde, elektrik fiyatı yaklaşık 6 US₵/kWh ve termal enerji maliyeti 0,62 US₵/MJ olmaktadır4.
Her ne kadar yukarıdaki kısımlarda CO2 Tutma Maliyetinin 40 $/ ton CO2, CO2 Depolama Maliyetinin 40 $/ ton CO2, ön arıtması olan ve karbon tutma tesisi olmayan işletmeler için beş yıl geçiş süresi sonrası için, Türkiye için düzeltmesiyle toplam karbon vergisinin 168 $/ton CO2 olmasının gerektiği belirtildiyse de, karbon vergisinin termik santrallerde üretilen elektrik fiyatına ve tüm sanayi kuruluşlarında üretilen termal enerjiye ek etkileri aşağıdaki grafiklerde verilmiştir. Makro düzeyde yapılan değerlendirmelerde ve alınacak kararlarda bu grafikler yararlı olabilir.
Sonuçlar
Küresel ısınmanın nedeni olan fosil yakıt kaynaklı karbon dioksit emisyonunun kontrol altında tutulması gerekir. Yenilenebilir-yeşil enerjiye geçişi hızlandırmak için karbon vergisi gereklidir.
Küresel problemin çözümü, küresel ve adaletli olmalıdır. Az gelişmiş ülkelere de yardım edilmelidir. Bunu yaparken ülkeleri değil insanı merkeze koyan yaklaşım esas olmalıdır. Bunun için UNDP’nin her yıl güncelleyip yayınladığı İnsanî Gelişme İndeksi temel alınabilir. Karbon vergisinin bir kısmı Birleşmiş Milletler kanalıyla Düşük İnsanî Gelişim ülkelerine aktarılıp bu ülkelerde de yenilenebilir-yeşil enerji yatırımları teşvik edilebilir.
Bu çalışmada, bir çok parametrelerin karmaşık etkilerini formüle etmek yerine, basit, yalın, anlaşılabilir, kabul edilebilir, adaletli ve yenilenebilir-yeşil enerjiye geçişi özendirici bir yaklaşımla karbon vergisinin hesaplanmasında kullanılabilecek formüller geliştirilmiştir. Bunlar hem Türkiye ve hem de diğer ülkeler için kullanılabilir.
Aynı zamanda, önerilen karbon vergisi değerleriyle karbon ticareti piyasasında da daha gerçekçi fiyatlarla işlem görülmesi sağlanabilir.
Cesar Mota, Carlos Alcaraz-López, María Iglesias, M.C. Martínez-Ballesta and Micaela Carvajal, Investigation Into Co2 Absorption Of The Most Representative Agricultural Crops Of The Region Of Murcia, CSIC. [6]
[5] Cost of Capturing CO2 from Industrial Sources, DOE/NETL-2013/1602 Report, January 10, 2014.
[4] Uysal, B. Z. ve Uysal Zıraman, D., Prosesler için Uygulamalaı Ekserji Analizi, Gazi Kitabevi, Ankara, 2020.
[3] Human Development Report 2020, The Next Frontier, Human Development and the Anthropocene, UNDP.
[2] Kate Raworth, 21.Yüzyıl İktisatçısı Gibi Düşünmenin Yedi Yolu – Simit Ekonomisi, Çeviri: Akın Emre Pilgir, Can Sanat Yayınları A.Ş., İstanbul, 2019.
[1] Environmental Protection Agency (EPA), “Inventory of U.S. Greenhouse Gas Emissions and Sinks: 1990–2012,” Washington, DC: EPA, 2014.